¡¡

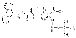
Name: Boc-L-Lys(Fmoc)-OH
Category: Boc-L-Amino Acids

Product Data Sheet

Product Name

Boc-L-Lys(Fmoc)-OH

CAS No.

84624-27-1

Molecular Formula

C26H32N2O6

Molecular Weight

468.55
Purity (HPLC) 98.5% min.
Appearance White powder
Melting Point 93~96 oC (dec.)
Specific Rotation (20/D) +2.8~+3.8o (c=1, AcOEt)
300 MHz NMR Spectrum 1H Consistent
¡¡
Ask for more >>

Ordering Information >>

Close the window

Last Update: December 6, 2011
©1998-2011 GL Biochem (Shanghai) Ltd. All Right Reserved.
  Email: webmaster@glschina.com

Please note: all products or service listed in this website are for research or production use only, not for direct human use.

¡¡